Rushcliffe Borough Council has voted to freeze its Council Tax levels for the 2026/27 financial year as part of a statutory resolution required before bills can be issued to residents.
The decision was approved at a meeting of the full council on 5 March 2026 following the completion of budget-setting processes by the county council, police and fire authority.
The Council continues to significantly invest in services and assets with over £24m planned on capital spending over the next five years as it continues to provide excellent services to its residents and will also discount council tax for those who are terminally ill.
Leader of the Council Cllr Neil Clarke said: “Good financial management means we can freeze on Council Tax this year despite the poor settlement we received from central government.
“This prudent and well managed balanced budget is mindful of ongoing cost of living challenges for residents with the risk of costs increasing further given the conflict in the middle east and the potential of fuel costs rising. This is one of our main drivers for sensible management of the Council’s finances over many years that enables us to make this choice to benefit our residents.
“The Council is delivering an enhanced Simpler Recycling service with kerbside collections for both glass and food planned and through budget efficiencies, keeping other costs down and raising income, will have to meet the enhanced cost of this service.
“The budget sees a continued focus on carbon reduction and ever greener measures for our projects and assets which has seen us invest in over 100 acres of land for tree planting, wildflower meadows and wetlands, honouring our commitment to biodiversity.
“We also very much wish to help individuals and families wherever we can in their time of need if diagnosed with a terminal illness. It is important we take proactive action to support some of the most vulnerable in our community.”
RBC’s Cabinet Portfolio Holder for Finance, Transformation and Governance Cllr Davinder Virdi added: “The Council continues to balance the books and is pleased to put this Council Tax freeze in place against a backdrop of decreasing Government grants and ongoing inflationary pressures in the sector.
“Financial pressure that residents face was also a key factor with this budget and not increasing the burden regarding cost-of-living challenges.
“However, we are still committed to investing in health and wellbeing infrastructure and our core environmental priorities. This is in the face of real terms reductions in government funding.
“This Council remains committed to economic growth and ensuring the Borough continues to thrive, and that it remains a great place to live and prosper. This includes a commitment to invest in our main towns and villages such as East Leake, Radcliffe on Trent and Keyworth, complementing past investment in West Bridgford, Cotgrave and Bingham.
“We face the same risks as any other council but due to astute financial management we are in a relatively stable financial position but cannot be complacent.
“Officers and Councillors continue to prioritise the needs of the local community to identify efficiencies ensuring we can continue to deliver vital services whilst keeping Council Tax the lowest in Nottinghamshire and amongst the lowest in the country in comparison to other district and borough councils.
“We are heading into a period of uncertainty with Local Government Reorganisation but we aim to continue to deliver excellent services and enhancing facilities for residents.”
The resolution brings together the different elements that make up the overall Council Tax bill for households across the borough, including the shares allocated to Nottinghamshire County Council, the Nottinghamshire Police and Crime Commissioner, Nottinghamshire and City of Nottingham Fire Authority, Rushcliffe Borough Council itself, and individual town and parish councils.
Council Tax bills are made up of contributions set by these different bodies, known as precepts. Rushcliffe Borough Council acts as the billing authority and must approve a consolidated resolution each year before bills can be issued and payments collected.
For 2026/27, the largest share of Council Tax continues to go to Nottinghamshire County Council, which approved a 3.99 per cent increase. This equates to an annual Band D charge of £1,970.13, representing a rise of £75.59 compared with the previous year.
Rushcliffe Borough Council has decided not to increase its own share of Council Tax for the coming year. The borough council’s Band D charge therefore remains at £161.77.
Other increases have been approved by partner authorities. The Nottinghamshire Police and Crime Commissioner has raised the police precept by 5.07 per cent, adding £15 to the annual Band D bill and bringing the total to £311.10. Nottinghamshire and City of Nottingham Fire Authority has approved a 5.14 per cent increase, adding £5 to the Band D charge, which will be £102.21 for the year.
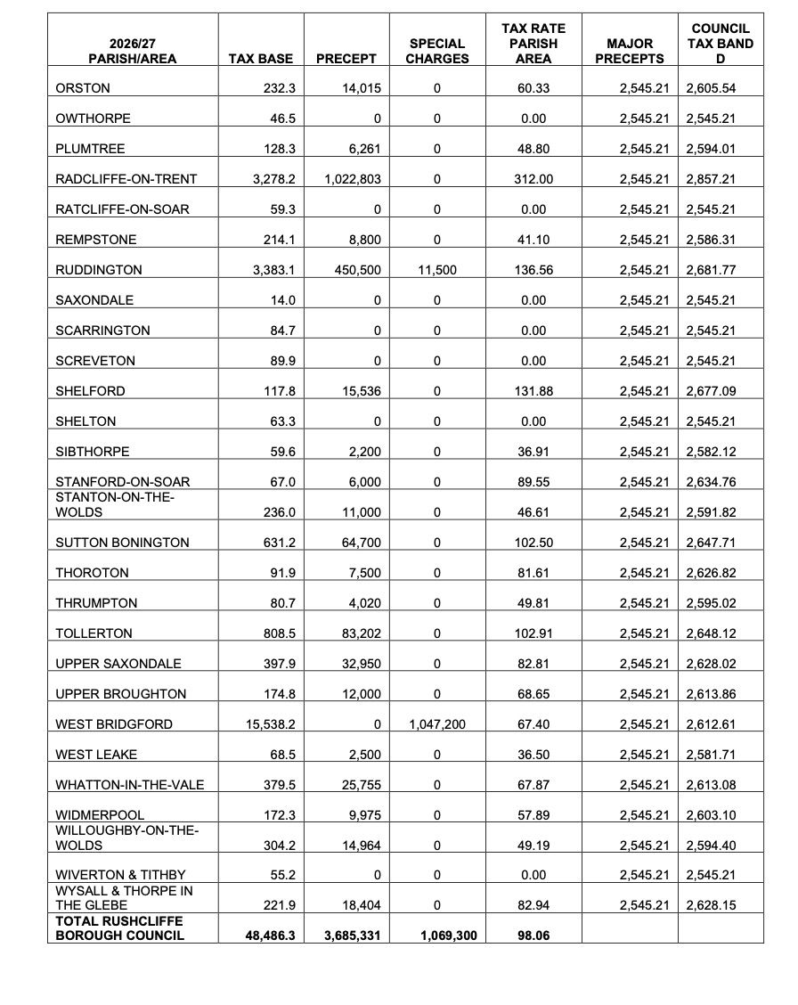
Taken together, these elements mean the core Band D Council Tax for areas without parish precepts will total £2,545.21 for 2026/27 before any additional parish charges are included.
Many communities across Rushcliffe also pay an additional parish or town council precept, which funds services and activities delivered locally. These vary depending on the parish area. For example, the Band D total including parish charges will be £2,857.21 in Radcliffe-on-Trent, £2,681.77 in Ruddington, £2,648.12 in Tollerton and £2,612.61 in West Bridgford.
Rushcliffe Borough Council’s own Council Tax requirement for the year, excluding parish precepts, has been calculated at £7.84 million. The borough’s Council Tax base for 2026/27 – the figure used to determine how much tax is collected across the area – has been set at 48,486.3 equivalent Band D properties.
Under national legislation, councils must approve their Council Tax levels before 11 March each year to ensure bills can be issued on time and local authorities can maintain cash flow to fund services. Failure to set the rate by the required date could delay billing and create financial pressures for the authority.
The council report notes that the borough’s own Council Tax level for 2026/27 does not exceed government thresholds that would trigger the need for a local referendum on excessive increases.





